Background: Umbilical cord blood transplantation (UCBT) is an alternative to matched-unrelated or mismatched-related peripheral blood (PB) or BMT and has emerged as a widely accepted treatment for a wide variety of hematologic malignancies. However, delayed platelet engraftment (DPE) and platelet engraftment failure still remain the common problems following UCBT. So far, no standard therapy has been recommended. A few studies have demonstrated that recombinant human thrombopoietin (rHuTPO) could play an effective role in advancing platelet recovery after allo-HSCT. Nevertheless, it remains unknown whether rHuTPO plays the same role while it is applied in UCBT. We designed this prospective randomized controlled trial with the purpose of determining whether rHuTPO improves platelet engraftment in patients undergoing single UCBT(sUCBT) and further evaluating the function of rHuTPO in sUCBT.

Methods: We enrolled 120 patients with haematological malignancies between October 2016 and March 2018 undergoing sUCBT in Department of Hematology, the First Affiliated Hospital of University of Science and Technology of China. This study was supported by National Natural Science Foundation, China (81670165) and International Cooperation Projects of Anhui Province, China(1804b06020352). The trial was approved by the Medical Ethics Committee of the First Affiliated Hospital of University of Science and Technology of China, and registered on www.chictr.org.cn(ChiCTR-IPR-16009357). 60 patients were randomly assigned into the experimental group, in which they received rHuTPO on Day 14 after sUCBT with a dose of 300 U/kg once daily for a period of 14 days; the remaining 60 patients formed the no-treatment control group. Among 120 patients, 19 received total body irradiation (TBI) based conditioning and others received modified myeloablative conditioning without antithymocyte globulin (ATG) as myeloablative conditioning. All patients were given cyclosporin (CsA) and mycophenolate mofetil (MMF) preventing graft-versus-host disease (GVHD). Supportive care and other treatments, including infectious disease prophylaxis and the use of granulocyte colony-stimulating factor, were provided following our center's protocols.

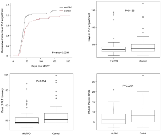
Results: With a median follow-up of 336 days (ranging between 96-618) for the surviving patients, the cumulative incidence of PLT engraftment in the rHuTPO group (89.7%, 95% confidence interval [CI], 77-95.5) was significantly higher than that in the control group (78.9%, 95%CI, 65.3-87.6) (p=0.0294); the median time of PLT engraftment was 35 and 40days (ranging between 18-144 and 19-170 respectively, P=0.155). The median time of PLT recovery in the rHuTPO group was 43days(ranging between 25-171days), which was significantly shorter than that in the control group(53days, ranging between 28-195, P=0.034). The rHuTPO group also showed an advantage over the control group in infused PLT units (6 vs 8, p=0.0294). The cumulative incidence of ANC engraftment was 98.3% (95% CI, 75.2-99.9) and 94.9% (95% CI, 83.8-98.5) (p=0.111) respectively in two groups.Multivariate analysis confirmed the significance of differences in platelet engraftment between two groups. The cumulative incidences of grade II-IV and III-IV acute graft-versus-host disease (GVHD),relapse,non-relapse mortality (NRM) and cytomegalovirus viremia and the probabilities of overall survival(OS) and leukemia free survival (LFS) did not differ between the two groups. No severe adverse effects were observed in all patients.

Conclusions: Our results demonstrate that rHuTPO could noticeably improve platelet engraftment and promote platelet recovery in patients with haematological malignancies receiving sUCBT; in the meantime, it could also reduce the requirement for platelet transfusion. This study indicated that rHuTPO could be a good option for promoting platelet engraftment and recovery in haematological malignancies after sUCBT.

Disclosures

No relevant conflicts of interest to declare.

Author notes

*

Asterisk with author names denotes non-ASH members.

This icon denotes a clinically relevant abstract

Sign in via your Institution